白茶是中國六大茶類之一,具有鮮爽微甜、香氣清鮮、毫香顯露的品質特征。長時間萎凋是白茶滋味品質形成的關鍵步驟,然而萎凋過程中滋味成分的變化規律及其分子機制尚不明確。

前期研究中,茶葉品質化學與營養健康創新團隊已在白茶品質化學方面,如白茶化學物質基礎及其在加工過程中的動態變化規律(Food Res Int, 2017;J Food Compos Anal, 2017;Food Chem, 2019;Food Res Int, 2019)、白茶滋味成分及其呈味貢獻(Food Res Int, 2018)、年份白茶特征化合物(J Agric Food Chem, 2018;Food Chem, 2020),白茶貯藏年份判別技術(Food Res Int, 2019;ZL201810139194.1)等取得了一系列科研進展。

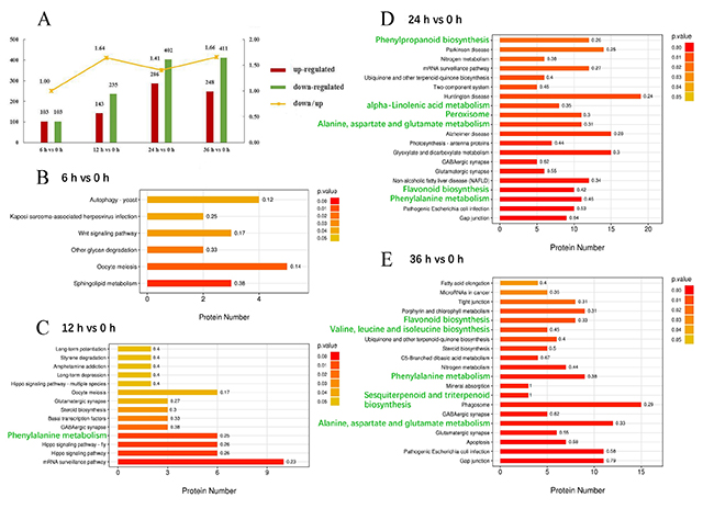
本工作中,茶葉品質化學與營養健康創新團隊進一步采用“代謝組學+蛋白組學”的方法系統深入地從“蛋白質-代謝產物”水平研究了白茶萎凋過程中滋味成分動態變化的分子機制。研究發現,白茶萎凋過程中脫水脅迫改變了茶葉的生理平衡,誘導蛋白質組發生改變,進一步促進主要滋味成分發生顯著變化:蛋白質水解促進了游離氨基酸含量升高,其中甜味氨基酸含量升高有助于形成白茶微甜的滋味特征;茶多酚(兒茶素、原花色素,聚酯型兒茶素和酚酸等)發生氧化反應生成茶色素以及自身生物合成的減弱導致其在萎調過程中含量降低;RNA發生降解反應生成核苷酸和核苷,其中核苷酸是白茶鮮味特征的潛在貢獻因素。此外,研究還發現白茶的干燥過程對于白茶品質特征的形成也具有一定貢獻。
相關研究成果發表在國際知名食品學期刊Food Chemistry上。該研究受到國家自然科學基金、中國農業科學院科技創新工程、國家茶產業技術體系等項目的支持。
原文鏈接:https://www.sciencedirect.com/science/article/abs/pii/S0308814620312747